W 1950 roku odkryto przedmioty w piramidzie faraona Dżesera, które zawierały tylko 57% ilości izotopu węgla-14, co oznacza, że ilość jąder pierwiastka pozostałych po rozpadzie N(t) była równa 57% początkowej liczby jąder tego pierwiastka N0. Możesz to przedstawić za pomocą wzoru
W przypadku rozpadu połowicznego możesz użyć wzoru
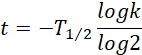
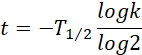
Chcesz teraz obliczyć czas, w jakim węgiel-14 uległ rozpadowi do podanej wartości procentowej k. Możesz to zrobić, korzystając z własności logarytmów. Przekształć wzór na udział procentowy:
Z tabeli znanej wartości czasu połowicznego
Co daje:
Odpowiedź: Przybliżona data śmierci faraona Dżesera to około 2 700 lat p.n.e.
Zadanie polega na oszacowaniu przybliżonej daty życia faraona Dżesera na podstawie analizy zawartości izotopu węgla-14 w znalezionych przedmiotach w jego piramidzie.
Aby to zrobić, należy skorzystać z informacji o zawartości izotopu węgla-14 w tych przedmiotach, która wynosiła około 57%. Ta wartość jest oznaczona jako k = 0,57 i jest kluczowym elementem do oszacowania czasu, jaki upłynął od momentu wytworzenia tych przedmiotów.
Pierwszym krokiem jest zastosowanie wzoru, który opisuje związek między początkową liczbą jąder izotopu węgla-14 (oznaczoną jako
Kolejnym krokiem jest wykorzystanie wzoru opisującego rozpad połowiczy izotopu węgla-14:
Następnie stosujesz właściwości logarytmów, aby rozwiązać równanie i obliczyć czas t:
Korzystając z wartości
Aby znaleźć datę życia faraona Dżesera, odejmujemy ten czas od roku 1950, co daje przybliżoną datę 2700 lat p.n.e.