Początkowo suma pędów obu piłeczek wynosiła zero, ponieważ jedna piłeczka poruszała się w jednym kierunku, a druga była nieruchoma. Po zderzeniu centralnym sprężystym, suma pędów pozostaje nadal równa zeru zgodnie z zasadą zachowania pędu.
Ponieważ piłeczka o masie
Podsumowując, po zderzeniu centralnym sprężystym pędy początkowe piłeczek wynoszą:
Piłeczki po zderzeniu wynoszą:
Z zasady zachowania pędu zapisujesz równanie:
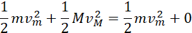
Energie przed zderzeniem:
Energie po zderzeniu:
Zasada zachowania energii:
Tworzysz układ równań:
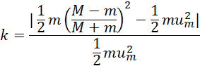
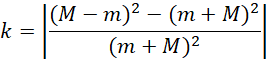
Dzielisz stronami:
Prędkość piłeczki o masie m po odbicie wynosi:
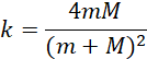
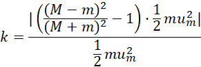
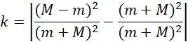
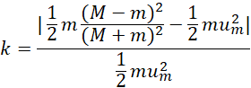
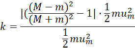
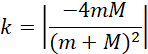
Iloraz zmiany energii kinetycznej piłeczki o masie m do jej początkowej energii kinetycznej:
Więc jeśli:
Aby obliczyć straty energii neutronu w zderzeniu z jądrem wodoru lub węgla, musisz:
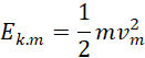
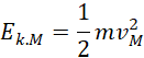
1. Obliczyć energię kinetyczną neutronu przed zderzeniem, używając wzoru
2. Określić masę jądra wodoru lub węgla, która jest
3. Ustalić, że energia kinetyczna jest zachowana w zderzeniu sprężystym, co oznacza, że energia kinetyczna początkowa jest równa energii kinetycznej końcowej.
4. Obliczyć energię kinetyczną neutronu po zderzeniu, a następnie obliczyć różnicę między energią kinetyczną początkową a końcową, aby określić straty energii.