Stosunek masowy izotopu jodu-127 do jodu-131 wynosi:
Jod-127 jest izotopem stabilnym, co oznacza, że nie ulega rozpadowi. Zatem w danym czasie jego masa wynosi:
Jod-131, z kolei, jest izotopem radioaktywnym, który rozpada się w określonym czasie. Z tabeli 8 na stronie 307 możesz odczytać, że czas połowicznego rozpadu
Masa próbki, która pozostaje po określonym czasie z uwagi na połowiczny rozpad, jest opisana wzorem:
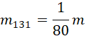
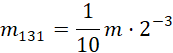
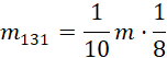
Stosując ten wzór do jodu-131 po 24 dniach, otrzymujesz:
Ostatecznie, stosunek masowy jodu-127 do jodu-131 w próbce wynosi:
W zadaniu masz do czynienia z dwoma izotopami jodu jodem-127 oraz jodem-131 Stosunek wagowy tych izotopów na początku to 9 do 1 jod-127 jest stabilny więc jego ilość nie zmienia się w czasie jod-131 jest radioaktywny i jego ilość zmienia się w czasie ze względu na rozpad W zadaniu masz podany czas połowicznego rozpadu jodu-131 wynoszący 8 dni Na podstawie tego czasu można obliczyć ile jodu-131 pozostaje w próbce po 24 dniach korzystając z odpowiedniego wzoru W wyniku obliczeń zyskujesz stosunek izotopów jodu-127 do jodu-131 w próbce po 24 dniach wynoszący 72 do 1.