Dostawa opóźnia się o:
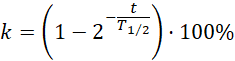
Zadaniem jest wyznaczenie, jaki procent jodu ulegnie rozpadowi:
gdzie:
Liczba obiektów pozostałych po pewnym czasie w wyniku połowicznego rozpadu początkowej liczby obiektów:
Przy czym :
Co daje:
Podstaw do wzoru:
Odpowiedź: W podanym czasie rozpadowi ulegnie około 15,9% jodu-131.
Aby obliczyć, jaki procent jodu-131 ulegnie rozpadowi przy opóźnieniu dostawy o 48 godzin, musisz zastosować wzór na rozpad radioaktywny, który uwzględnia czas półrozpadu jodu-131. Czas półrozpadu to czas, w którym połowa początkowej ilości jodu-131 ulegnie rozpadowi. Używając wzoru