Dane:
Szukane:
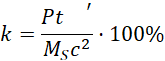
Procentowa zmiana masy Słońca po podanym czasie może być obliczona jako iloraz zmiany masy do masy początkowej, pomnożony przez 100%:
W tym przypadku:
Co daje:
Podstaw do wzoru:
Odpowiedź:
Za 5 miliardów lat masa Słońca zmniejszy się na poziomie około 0,035 % swojej obecnej masy.
Chcesz obliczyć, o ile procent zmieni się masa Słońca w ciągu 5 miliardów lat, biorąc pod uwagę jego moc promieniowania i masę początkową.
Korzystasz z równań, aby obliczyć zmianę masy Słońca, a następnie wyrażasz ją jako procent w stosunku do początkowej masy.
Wynik to około 0,03504%, co oznacza, że po 5 miliardach lat masa Słońca zmniejszy się o tę wartość procentową.