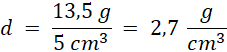
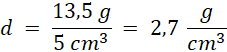
Oblicz gęstość marmuru.
Gęstość to stosunek masy do objętości ciała.
Zadanie 1.1.
Podpunkt a)
Podpunkt b)
Podpunkt c)
Podpunkt d)
Zadanie 1.2.
Zadanie 1.3.
Zadanie 1.4.
Podpunkt e)
Podpunkt f)
Zadanie 1.5.
Zadanie 1.6.
Zadanie 1.7.
Zadanie 1.8.
Zadanie 1.9.
Zadanie 1.10.
Zadanie 1.11.
Zadanie 1.12.
Zadanie 1.13.
Zadanie 1.14.
Zadanie 1.15.
Zadanie 1.16.
Zadanie 1.17.
Zadanie 1.18.
Zadanie 1.19.
Zadanie 1.20.
Zadanie 1.21.
Zadanie 1.22.
Zadanie 1.23.
Zadanie 1.24.
Zadanie 1.25.
Zadanie 1.26.
Zadanie 1.27.
Zadanie 1.28.
Zadanie 1.29.
Zadanie 1.30.
Zadanie 1.31.
Zadanie 1.32.
Zadanie 1.33.
Zadanie 1.34.
Zadanie 1.35.
Zadanie 1.36.
Zadanie 1.37.
Zadanie 1.38.
Zadanie 1.39.
Zadanie 1.40.
Zadanie 1.41.
Zadanie 1.42.
Zadanie 1.43.
Zadanie 1.44.
Zadanie 1.45.
Zadanie 1.46.
Zadanie 1.47.
Zadanie 1.48.
Zadanie 1.49.
Zadanie 1.50.
Zadanie 1.51.
Zadanie 1.52.
Zadanie 1.53.
Zadanie 1.54.
Zadanie 1.55.
Zadanie 1.56.
Zadanie 1.57.
Zadanie 1.58.
Zadanie 1.59.
Zadanie 1.60.