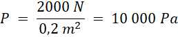
Oblicz ciśnienie piasku na dno skrzyni o powierzchni.
Ciśnienie to stosunek siły F do powierzchni S, na jaką ta siła działa, .
Piasek działa na dno skrzyni siłą ciężkości.
Zadanie 1.1.
Podpunkt a)
Podpunkt b)
Podpunkt c)
Podpunkt d)
Zadanie 1.2.
Zadanie 1.3.
Zadanie 1.4.
Podpunkt e)
Podpunkt f)
Zadanie 1.5.
Zadanie 1.6.
Zadanie 1.7.
Zadanie 1.8.
Zadanie 1.9.
Zadanie 1.10.
Zadanie 1.11.
Zadanie 1.12.
Zadanie 1.13.
Zadanie 1.14.
Zadanie 1.15.
Zadanie 1.16.
Zadanie 1.17.
Zadanie 1.18.
Zadanie 1.19.
Zadanie 1.20.
Zadanie 1.21.
Zadanie 1.22.
Zadanie 1.23.
Zadanie 1.24.
Zadanie 1.25.
Zadanie 1.26.
Zadanie 1.27.
Zadanie 1.28.
Zadanie 1.29.
Zadanie 1.30.
Zadanie 1.31.
Zadanie 1.32.
Zadanie 1.33.
Zadanie 1.34.
Zadanie 1.35.
Zadanie 1.36.
Zadanie 1.37.
Zadanie 1.38.
Zadanie 1.39.
Zadanie 1.40.
Zadanie 1.41.
Zadanie 1.42.
Zadanie 1.43.
Zadanie 1.44.
Zadanie 1.45.
Zadanie 1.46.
Zadanie 1.47.
Zadanie 1.48.
Zadanie 1.49.
Zadanie 1.50.
Zadanie 1.51.
Zadanie 1.52.
Zadanie 1.53.
Zadanie 1.54.
Zadanie 1.55.
Zadanie 1.56.
Zadanie 1.57.
Zadanie 1.58.
Zadanie 1.59.
Zadanie 1.60.