Podaj masę paczki w tonach, z dokładnością do dwóch cyfr znaczących.
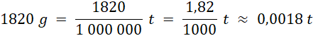
1820 g ≈ 0,0018 t
1 t = 1000 kg = 1 000 000 g
Zaokrąglenie wyniku do dwóch cyfr znaczących oznacza, że wynik będzie się składał z dwóch cyfr różnych od zera.
Zadanie 1.1.
Podpunkt a)
Podpunkt b)
Podpunkt c)
Podpunkt d)
Zadanie 1.2.
Zadanie 1.3.
Zadanie 1.4.
Podpunkt e)
Podpunkt f)
Zadanie 1.5.
Zadanie 1.6.
Zadanie 1.7.
Zadanie 1.8.
Zadanie 1.9.
Zadanie 1.10.
Zadanie 1.11.
Zadanie 1.12.
Zadanie 1.13.
Zadanie 1.14.
Zadanie 1.15.
Zadanie 1.16.
Zadanie 1.17.
Zadanie 1.18.
Zadanie 1.19.
Zadanie 1.20.
Zadanie 1.21.
Zadanie 1.22.
Zadanie 1.23.
Zadanie 1.24.
Zadanie 1.25.
Zadanie 1.26.
Zadanie 1.27.
Zadanie 1.28.
Zadanie 1.29.
Zadanie 1.30.
Zadanie 1.31.
Zadanie 1.32.
Zadanie 1.33.
Zadanie 1.34.
Zadanie 1.35.
Zadanie 1.36.
Zadanie 1.37.
Zadanie 1.38.
Zadanie 1.39.
Zadanie 1.40.
Zadanie 1.41.
Zadanie 1.42.
Zadanie 1.43.
Zadanie 1.44.
Zadanie 1.45.
Zadanie 1.46.
Zadanie 1.47.
Zadanie 1.48.
Zadanie 1.49.
Zadanie 1.50.
Zadanie 1.51.
Zadanie 1.52.
Zadanie 1.53.
Zadanie 1.54.
Zadanie 1.55.
Zadanie 1.56.
Zadanie 1.57.
Zadanie 1.58.
Zadanie 1.59.
Zadanie 1.60.