Zadanie

Opisz, jak odmierzyłbyś 100 g wody.

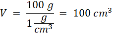
Rozwiązanie

Wyjaśnienie

Zadania z tego działu
Dział 1. Wykonujemy pomiary
5

Zadania przypisane do działu

Zadanie 1.1.

5

Zadanie 1.2.

5

Zadanie 1.3.

5

Zadanie 1.4.

5

Zadanie 1.7.

6

Zadanie 1.11.

7

Zadanie 1.13.

7

Zadanie 1.14.

7

Zadanie 1.17.

8

Zadanie 1.20.

8

Zadanie 1.21.

8

Zadanie 1.22.

9

Zadanie 1.23.

9

Zadanie 1.25.

9

Zadanie 1.33.

10

Zadanie 1.34.

10

Zadanie 1.36.

11

Zadanie 1.37.

11

Zadanie 1.38.

11

Zadanie 1.41.

12

Zadanie 1.45.

13

Zadanie 1.58.

15

Zadanie 1.59.

15

Zadanie 1.60.

15