Skul.pl
  • Opracowania zadań z podręczników
  • Fizyka. Klasa 7-8. Zbiór zadań - rozwiązania i odpowiedzi
  • Zadanie 14.10.

Fizyka. Klasa 7-8. Zbiór zadań - rozwiązania i odpowiedzi

Zbiór zadań, Wydawnictwo: WSiP
Poprzednie

Zadanie 14.10. - strona 192

Następne

Zadanie

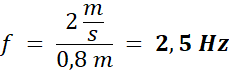
W tym zadaniu musisz obliczyć, okres i częstotliwość drgań cząsteczek sznura.

Rozwiązanie

Skul

Wyjaśnienie

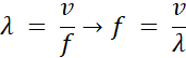
Korzystamy ze wzoru na długość fali , przekształcając go tak, aby obliczyć częstotliwość. Następnie obliczoną częstotliwość zamieniamy na okres, wiedząc, że okres jest odwrotnością częstotliwości.

Poprzednie
Następne

Fizyka - wybrane pytania

Ćwiczenie 3., strona 39, Fizyka z plusem. Klasa 8. Podręcznik - rozwiązania i odpowiedzi
Zadanie 8.5., strona 114, Zrozumieć fizykę. Klasa 2. Zakres rozszerzony. Zbiór zadań - rozwiązania i odpowiedzi
Zadanie 7.6.8., strona 46, Zrozumieć fizykę. Klasa 2. Zakres rozszerzony. Zbiór zadań - rozwiązania i odpowiedzi
Zadanie 1., strona 161, Fizyka. Klasa 1. Podręcznik. Zakres podstawowy - rozwiązania i odpowiedzi
Zadanie 46.6., strona 171, Zbiór zadań z fizyki dla szkoły podstawowej. Klasa 7-8 - rozwiązania i odpowiedzi
Zadanie 1.1., strona 15, Fizyka. Klasa 1. Zbiór zadań. Zakres rozszerzony – rozwiązania i odpowiedzi
Ćwiczenie 7., strona 82, Fizyka. Świat fizyki. Klasa 8. Zeszyt ćwiczeń - rozwiązania i odpowiedzi
Zadanie 4., strona 194, Odkryć fizykę. Klasa 3. Zakres podstawowy. Podręcznik - rozwiązania i odpowiedzi
Zadanie 4., strona 180, Fizyka. Klasa 1. Podręcznik. Zakres podstawowy - rozwiązania i odpowiedzi
Zadanie 4, strona 61, Zrozumieć fizykę. Klasa 1.Podręcznik. Zakres rozszerzony - rozwiązania i odpowiedzi
REKLAMA
Skul
Zadania z tego działu
14. Ruch drgający i falowy
190
14.1. Fale i drgania mechaniczne
190

Zadanie 14.1.

190

Zadanie 14.2.

190

Zadanie 14.3.

190

Zadanie 14.4.

191

Zadanie 14.5.

191

Zadanie 14.6.

191

Zadanie 14.7.

191

Zadanie 14.8.

191

Zadanie 14.9.

192

Zadanie 14.10.

192

Zadanie 14.11.

192

Zadanie 14.12.

192

Zadanie 14.13.

192

Zadanie 14.15.

193

Zadanie 14.16.

193

Zadanie 14.17.

193

Zadanie 14.18.

193

Zadanie 14.19.

194

Zadanie 14.20.

194

Zadanie 14.21.

194

Zadanie 14.22.

194

Zadanie 14.23.

195

Zadanie 14.24.

195

Zadanie 14.25.

195

Zadanie 14.26.

195

Zadanie 14.27.

195

Zadanie 14.28.

196

Zadanie 14.29.

196

Zadanie 14.30.

196

Zadanie 14.31.

196

Zadanie 14.32.

196
14.2. Dźwięki
197

Zadanie 14.33.

197

Zadanie 14.34.

197

Zadanie 14.35.

197

Zadanie 14.36.

197

Zadanie 14.37.

197

Zadanie 14.38.

197

Zadanie 14.39.

197

Zadanie 14.40.

198

Zadanie 14.41.

198

Zadanie 14.42.

198

Zadanie 14.43.

199

Zadanie 14.44.

199

Zadanie 14.45.

199

Zadanie 14.46.

199

Zadanie 14.47.

200

Zadanie 14.48.

200

Zadanie 14.49.

200

Zadanie 14.50.

201

Zadanie 14.51.

201

Zadanie 14.52.

201
Pełny spis treści
Skul
Artboard 1
Skul.pl
  • Napisz do nas
  • FAQ
  • Mapa Serwisu
  • Google Play
  • App Store

Korzystanie z portalu oznacza akceptację Regulaminu.
Polityka prywatności. Ustawienia preferencji. Copyright: INTERIA.PL 1999-2023 Wszystkie prawa zastrzeżone.