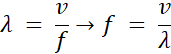
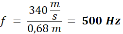
W tym zadaniu musisz podać, jaka była częstotliwość drgań kamertonu, jeżeli uzyskano rezonans akustyczny między drgającym kamertonem i słupem powietrza w rurze o długości 17 cm.
Rozwiązanie
Wyjaśnienie
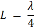
Fala stojąca powstała w słupie powietrza nad wodą, miała taką samą częstotliwość jak częstotliwość drgań kamertonu. Z rysunku, w długości słupa powietrza L, mieści się ćwierć długości fali.