Skul.pl
  • Opracowania zadań z podręczników
  • Fizyka. Klasa 7-8. Zbiór zadań - rozwiązania i odpowiedzi
  • Zadanie 14.38.

Fizyka. Klasa 7-8. Zbiór zadań - rozwiązania i odpowiedzi

Zbiór zadań, Wydawnictwo: WSiP
Poprzednie

Zadanie 14.38. - strona 197

Następne

Zadanie

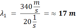
W tym zadaniu musisz obliczyć, zakres długości fal głosowych słyszanych przez człowieka.

Rozwiązanie

Zakres słyszalności: 17 mm – 17 m.

Skul

Wyjaśnienie

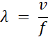
Długość fali jest równa ilorazowi prędkości fali przez jej częstotliwość.

Poprzednie
Następne

Fizyka - wybrane pytania

Zadanie 11., strona 184, Fizyka. Klasa 7-8. Zbiór zadań - rozwiązania i odpowiedzi
Ćwiczenie Doświadczenie, strona 116, To jest fizyka. Klasa 7. Podręcznik - rozwiązania i odpowiedzi
Zadanie 1, strona 82, Fizyka. Klasa 8. Podręcznik - rozwiązania i odpowiedzi
Zadanie 16.17., strona 226, Fizyka. Klasa 7-8. Zbiór zadań - rozwiązania i odpowiedzi
Zadanie 5., strona 252, Fizyka. Klasa 2. Podręcznik. Zakres rozszerzony – rozwiązania i odpowiedzi
Zadanie 1, strona 47, Spotkania z fizyką. Klasa 7. Zeszyt ćwiczeń - rozwiązania i odpowiedzi
Zadanie 16.9., strona 62, Zbiór zadań z fizyki dla szkoły podstawowej. Klasa 7-8 - rozwiązania i odpowiedzi
Zadanie 1., strona 181, Fizyka. Klasa 2. Podręcznik. Zakres podstawowy - rozwiązania i odpowiedzi
Pytanie Podejmij temat 8, strona 16, Fizyka. Klasa 8. Podręcznik - rozwiązania i odpowiedzi
Ćwiczenie 6.42., strona 88, Fizyka. Klasa 1-3. Zakres podstawowy. Zbiór zadań - rozwiązania i odpowiedzi
REKLAMA
Skul
Zadania z tego działu
14. Ruch drgający i falowy
190
14.1. Fale i drgania mechaniczne
190

Zadanie 14.1.

190

Zadanie 14.2.

190

Zadanie 14.3.

190

Zadanie 14.4.

191

Zadanie 14.5.

191

Zadanie 14.6.

191

Zadanie 14.7.

191

Zadanie 14.8.

191

Zadanie 14.9.

192

Zadanie 14.10.

192

Zadanie 14.11.

192

Zadanie 14.12.

192

Zadanie 14.13.

192

Zadanie 14.15.

193

Zadanie 14.16.

193

Zadanie 14.17.

193

Zadanie 14.18.

193

Zadanie 14.19.

194

Zadanie 14.20.

194

Zadanie 14.21.

194

Zadanie 14.22.

194

Zadanie 14.23.

195

Zadanie 14.24.

195

Zadanie 14.25.

195

Zadanie 14.26.

195

Zadanie 14.27.

195

Zadanie 14.28.

196

Zadanie 14.29.

196

Zadanie 14.30.

196

Zadanie 14.31.

196

Zadanie 14.32.

196
14.2. Dźwięki
197

Zadanie 14.33.

197

Zadanie 14.34.

197

Zadanie 14.35.

197

Zadanie 14.36.

197

Zadanie 14.37.

197

Zadanie 14.38.

197

Zadanie 14.39.

197

Zadanie 14.40.

198

Zadanie 14.41.

198

Zadanie 14.42.

198

Zadanie 14.43.

199

Zadanie 14.44.

199

Zadanie 14.45.

199

Zadanie 14.46.

199

Zadanie 14.47.

200

Zadanie 14.48.

200

Zadanie 14.49.

200

Zadanie 14.50.

201

Zadanie 14.51.

201

Zadanie 14.52.

201
Pełny spis treści
Skul
Artboard 1
Skul.pl
  • Napisz do nas
  • FAQ
  • Mapa Serwisu
  • Google Play
  • App Store

Korzystanie z portalu oznacza akceptację Regulaminu.
Polityka prywatności. Ustawienia preferencji. Copyright: INTERIA.PL 1999-2023 Wszystkie prawa zastrzeżone.