Skul.pl
  • Opracowania zadań z podręczników
  • Fizyka. Klasa 7-8. Zbiór zadań - rozwiązania i odpowiedzi
  • Zadanie 14.51.

Fizyka. Klasa 7-8. Zbiór zadań - rozwiązania i odpowiedzi

Zbiór zadań, Wydawnictwo: WSiP
Poprzednie

Zadanie 14.51. - strona 201

Następne

Zadanie

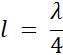
W tym zadaniu musisz obliczyć głębokość pudła rezonansowego, na którym znajduje się kamerton.

Rozwiązanie

Skul

Wyjaśnienie

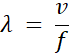
Z rysunku, w głębokości pudła , mieści się ćwierć długości fali.

Poprzednie
Następne

Fizyka - wybrane pytania

Ćwiczenie 3., strona 63, Fizyka. Świat fizyki. Klasa 8. Zeszyt ćwiczeń - rozwiązania i odpowiedzi
Zadanie 2.6, strona 68, Zrozumieć fizykę. Klasa 3. Zakres rozszerzony. Podręcznik - rozwiązania i odpowiedzi
Zadanie 16.5.8., strona 53, Zrozumieć fizykę 4. Zakres rozszerzony. Zbiór zadań - rozwiązania i odpowiedzi
Pytanie 10., strona 200, Fizyka. Fizyka z plusem. Klasa 7. Podręcznik - rozwiązania i odpowiedzi
Zadanie 15.4.3, strona 293, Zrozumieć fizykę 3. Zakres rozszerzony. Zbiór zadań - rozwiązania i odpowiedz.
Zadanie 7, strona 43, Fizyka. Klasa 7. Podręcznik - rozwiązania i odpowiedzi
Zadanie 1, strona 140, Spotkania z fizyką. Klasa 7. Podręcznik - rozwiązania i odpowiedzi
Zadanie To warto umieć 2., strona 304, Odkryć fizykę. Klasa 3. Zakres podstawowy. Podręcznik - rozwiązania i odpowiedzi
Ćwiczenie 9.29., strona 131, Fizyka. Klasa 1-3. Zakres podstawowy. Zbiór zadań - rozwiązania i odpowiedzi
Zadanie 4, strona 199, Fizyka. Klasa 7. Podręcznik – rozwiązania i odpowiedzi
REKLAMA
Skul
Zadania z tego działu
14. Ruch drgający i falowy
190
14.1. Fale i drgania mechaniczne
190

Zadanie 14.1.

190

Zadanie 14.2.

190

Zadanie 14.3.

190

Zadanie 14.4.

191

Zadanie 14.5.

191

Zadanie 14.6.

191

Zadanie 14.7.

191

Zadanie 14.8.

191

Zadanie 14.9.

192

Zadanie 14.10.

192

Zadanie 14.11.

192

Zadanie 14.12.

192

Zadanie 14.13.

192

Zadanie 14.15.

193

Zadanie 14.16.

193

Zadanie 14.17.

193

Zadanie 14.18.

193

Zadanie 14.19.

194

Zadanie 14.20.

194

Zadanie 14.21.

194

Zadanie 14.22.

194

Zadanie 14.23.

195

Zadanie 14.24.

195

Zadanie 14.25.

195

Zadanie 14.26.

195

Zadanie 14.27.

195

Zadanie 14.28.

196

Zadanie 14.29.

196

Zadanie 14.30.

196

Zadanie 14.31.

196

Zadanie 14.32.

196
14.2. Dźwięki
197

Zadanie 14.33.

197

Zadanie 14.34.

197

Zadanie 14.35.

197

Zadanie 14.36.

197

Zadanie 14.37.

197

Zadanie 14.38.

197

Zadanie 14.39.

197

Zadanie 14.40.

198

Zadanie 14.41.

198

Zadanie 14.42.

198

Zadanie 14.43.

199

Zadanie 14.44.

199

Zadanie 14.45.

199

Zadanie 14.46.

199

Zadanie 14.47.

200

Zadanie 14.48.

200

Zadanie 14.49.

200

Zadanie 14.50.

201

Zadanie 14.51.

201

Zadanie 14.52.

201
Pełny spis treści
Skul
Artboard 1
Skul.pl
  • Napisz do nas
  • FAQ
  • Mapa Serwisu
  • Google Play
  • App Store

Korzystanie z portalu oznacza akceptację Regulaminu.
Polityka prywatności. Ustawienia preferencji. Copyright: INTERIA.PL 1999-2023 Wszystkie prawa zastrzeżone.