Z przewodnika o pewnym oporze zrobiono okrąg, a następnie dołączono do niego źródło napięcia między punktami A i B w taki sposób, jak przedstawiono na rysunku. Policz, jaki musi być stosunek długości l1 do l2, by opór zastępczy oporników był 4,5 razy mniejszy od oporu całego okręgu.
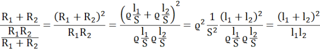
Opór całego okręgu:
Połączenie szeregowe:
Opór lewego łuku:
Opór prawego łuku:
Połączenie równoległe:
Opór zastępczy:
Stosunek tych oporów:
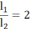
Przyjmijmy n = 4,5 oraz:
Równanie kwadratowe:
Drugie Rozwiązanie:
Ostatecznie:
Lub:
Wzór na opór elektryczny:
gdzie R – opór elektryczny [Ω],
l – długość przewodu [m],
S – pole przekroju poprzecznego przewodu [m2],
Długość przewodnika jest wprost proporcjonalna do jego oporu.
Zadanie 13.2.1.
163Zadanie 13.2.2.
163Zadanie 13.2.5.
164Zadanie 13.2.6.
164Zadanie 13.3.11.
170Zadanie 13.3.12.
171Zadanie 13.3.13.
171Zadanie 13.3.14.
171Zadanie 13.4.1.
173Zadanie 13.4.2.
174Zadanie 13.4.3.
174Zadanie 13.4.6.
174Zadanie 13.4.8.
175Zadanie 13.5.5.
179Zadanie 13.5.7.
179Zadanie 13.5.10.
180Zadanie 13.5.15.
181Zadanie 13.6.4.
189Zadanie 13.6.7.
189Zadanie 13.6.11.
190Zadanie 13.6.12.
190Zadanie 13.6.13.
190Zadanie 13.6.14.
191Zadanie 13.6.15.
191Zadanie 13.7.4.
196Zadanie 13.7.7.
197Zadanie 13.8.3.
203Zadanie 13.8.5.
203Zadanie 13.8.7.
204Zadanie 13.8.8.
204Zadanie 13.8.14.
205