Na podstawie danych podanych na rysunku policz różnicę potencjałów pomiędzy punktami A i B oraz B i C. Wybierz te odpowiedzi z tabelki.
Opory:
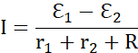
SEM:
2 prawo Kirchhoffa dla obwodu:
Napięcie na oporniku r1:
Napięcie na oporniku r2:
Różnica potencjałów:
Odpowiedź C)
II prawo Kirchhoffa pomaga rozwiązywać obwody elektryczne.
W każdym oczku suma spadków napięć na odbiornikach jest równa sumie sił elektromotorycznych źródeł.
Załóż kierunek przepływu prądu w całym oczku. Oporniki mają napięcie ujemne, a źródła dodatnie. Jeżeli prąd płynie przez źródło w odwrotnym kierunku (od minusa do plusa), to wtedy będzie mieć znak ujemny. Jeśli przez opornik płynie prąd w kierunku odwrotnym do zamierzonego, to napięcie będzie mieć znak dodatni.
Różnica potencjałów między dwoma punktami to napięcie.
Zauważ, że w drugim źródle prądu prąd wpływa do plusa, a nie do minusa, dlatego uznajemy go za odbiornik, a nie za źródło.
Zadanie 13.2.1.
163Zadanie 13.2.2.
163Zadanie 13.2.5.
164Zadanie 13.2.6.
164Zadanie 13.3.11.
170Zadanie 13.3.12.
171Zadanie 13.3.13.
171Zadanie 13.3.14.
171Zadanie 13.4.1.
173Zadanie 13.4.2.
174Zadanie 13.4.3.
174Zadanie 13.4.6.
174Zadanie 13.4.8.
175Zadanie 13.5.5.
179Zadanie 13.5.7.
179Zadanie 13.5.10.
180Zadanie 13.5.15.
181Zadanie 13.6.4.
189Zadanie 13.6.7.
189Zadanie 13.6.11.
190Zadanie 13.6.12.
190Zadanie 13.6.13.
190Zadanie 13.6.14.
191Zadanie 13.6.15.
191Zadanie 13.7.4.
196Zadanie 13.7.7.
197Zadanie 13.8.3.
203Zadanie 13.8.5.
203Zadanie 13.8.7.
204Zadanie 13.8.8.
204Zadanie 13.8.14.
205