Oblicz opór wewnętrzny materiału, z którego wykonano drut, który badali w opisanym doświadczeniu. Wskaż na podstawie tabelki z następnej strony, jaki może to być materiał.
Średnica:
Pole przekroju:
Długość:
Napięcie:
Natężenie:
Opór elektryczny z prawa Ohma:
Opór właściwy:
Opornik jest wykonany z konstantanu.
Wzór na opór elektryczny:
gdzie R – opór elektryczny [Ω],
l – długość przewodu [m],
S – pole przekroju poprzecznego przewodu [m2],
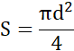
Wzór na pole przekroju przewodnika kołowego ma postać:
gdzie d – to średnica przekroju poprzecznego [m].
Skorzystaj ze wzoru na opór elektryczny:
gdzie R – opór elektryczny [Ω],
U – napięcie [V],
I – natężenie prądu [A].
Opór właściwy jest wielkością zależną od rodzaju materiału, z jakiego wykonano przewód.
Zadanie 13.2.1.
163Zadanie 13.2.2.
163Zadanie 13.2.5.
164Zadanie 13.2.6.
164Zadanie 13.3.11.
170Zadanie 13.3.12.
171Zadanie 13.3.13.
171Zadanie 13.3.14.
171Zadanie 13.4.1.
173Zadanie 13.4.2.
174Zadanie 13.4.3.
174Zadanie 13.4.6.
174Zadanie 13.4.8.
175Zadanie 13.5.5.
179Zadanie 13.5.7.
179Zadanie 13.5.10.
180Zadanie 13.5.15.
181Zadanie 13.6.4.
189Zadanie 13.6.7.
189Zadanie 13.6.11.
190Zadanie 13.6.12.
190Zadanie 13.6.13.
190Zadanie 13.6.14.
191Zadanie 13.6.15.
191Zadanie 13.7.4.
196Zadanie 13.7.7.
197Zadanie 13.8.3.
203Zadanie 13.8.5.
203Zadanie 13.8.7.
204Zadanie 13.8.8.
204Zadanie 13.8.14.
205