Na podstawie wykresu napięcia on natężenia znajdź wzór funkcji, która opisuje zależność napięcia od natężenia prądu.
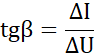
Funkcja liniowa:
a – współczynnik kierunkowy
b – wyraz wolny
Dla I = 0 A
Z własności funkcji liniowej:
Dla natężenia równego 5 amperów:
Funkcja ostatecznie ma postać:
Przypomnij sobie własności funkcji liniowej z lekcji matematyki.
Zauważ, że kiedy prąd nie płynie, to napięcie jest maksymalne i jest równe sile elektromotorycznej.
Zadanie 13.2.1.
163Zadanie 13.2.2.
163Zadanie 13.2.5.
164Zadanie 13.2.6.
164Zadanie 13.3.11.
170Zadanie 13.3.12.
171Zadanie 13.3.13.
171Zadanie 13.3.14.
171Zadanie 13.4.1.
173Zadanie 13.4.2.
174Zadanie 13.4.3.
174Zadanie 13.4.6.
174Zadanie 13.4.8.
175Zadanie 13.5.5.
179Zadanie 13.5.7.
179Zadanie 13.5.10.
180Zadanie 13.5.15.
181Zadanie 13.6.4.
189Zadanie 13.6.7.
189Zadanie 13.6.11.
190Zadanie 13.6.12.
190Zadanie 13.6.13.
190Zadanie 13.6.14.
191Zadanie 13.6.15.
191Zadanie 13.7.4.
196Zadanie 13.7.7.
197Zadanie 13.8.3.
203Zadanie 13.8.5.
203Zadanie 13.8.7.
204Zadanie 13.8.8.
204Zadanie 13.8.14.
205