Policz, jaki jest iloraz prędkości elektronów swobodnych i prędkości unoszenia w przewodniku miedzianym.
Pole przekroju:
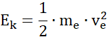
Energia kinetyczna:
Koncentracja:
Natężenie prądu:
Masa elektronu:
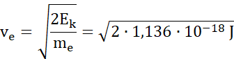
Energia kinetyczna (związania z prędkością elektronów swobodnych):
Gęstość prądu:
Prędkość unoszenia:
Ładunek 1 elektronu:
Iloraz:
Wzór na energię kinetyczną:
gdzie
Wzór na gęstość prądu ma postać:
gdzie j – gęstość prądu [
I – natężenie prądu [A],
S – pole przekroju poprzecznego przewodnika [m2
Innym wzorem na gęstość prądu jest:
gdzie
e – ładunek elektryczny jednego elektronu [C] wynoszący
n – koncentracja elektronu [
Jeden elektronowolt to
Zadanie 13.2.1.
163Zadanie 13.2.2.
163Zadanie 13.2.5.
164Zadanie 13.2.6.
164Zadanie 13.3.11.
170Zadanie 13.3.12.
171Zadanie 13.3.13.
171Zadanie 13.3.14.
171Zadanie 13.4.1.
173Zadanie 13.4.2.
174Zadanie 13.4.3.
174Zadanie 13.4.6.
174Zadanie 13.4.8.
175Zadanie 13.5.5.
179Zadanie 13.5.7.
179Zadanie 13.5.10.
180Zadanie 13.5.15.
181Zadanie 13.6.4.
189Zadanie 13.6.7.
189Zadanie 13.6.11.
190Zadanie 13.6.12.
190Zadanie 13.6.13.
190Zadanie 13.6.14.
191Zadanie 13.6.15.
191Zadanie 13.7.4.
196Zadanie 13.7.7.
197Zadanie 13.8.3.
203Zadanie 13.8.5.
203Zadanie 13.8.7.
204Zadanie 13.8.8.
204Zadanie 13.8.14.
205