Samochód zabawka ma napęd elektryczny zasilany z akumulatora o stałym napięciu. Oblicz, jakie natężenie prądu będzie przepływać przez uzwojenia silnika, jeśli siły oporu stanowią 2% ciężaru samochodu.
Napięcie:
Prędkość
Masa:
Czas rozpędzenia:
Przyspieszenie ziemskie:
Siła oporu:
Praca prądu elektrycznego:
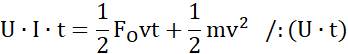
Praca, jaką wykonuje samochód (musi pokonać opory ruchu i zwiększyć swoją energię kinetyczną):
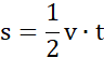
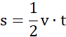
Droga:
Porównujemy:
Natężenie prądu:
Prąd pobierany z akumulatora wynosi 1,25 ampera.
Skorzystaj ze wzoru na pracę prądu elektrycznego:
gdzie W– praca prądu elektrycznego [J],
U – napięcie [V],
I – natężenie prądu [A],
t – czas [s].
Wzór na pracę ma postać:
gdzie F – siła [N],
s – droga [m],
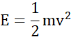
Wzór na energię kinetyczną ma postać:
gdzie E – energia kinetyczna [J],
m – masa ciała [kg],
v – prędkość ciała
Wzór na drogę w ruchu jednostajnie przyspieszonym:
Zadanie 13.2.1.
163Zadanie 13.2.2.
163Zadanie 13.2.5.
164Zadanie 13.2.6.
164Zadanie 13.3.11.
170Zadanie 13.3.12.
171Zadanie 13.3.13.
171Zadanie 13.3.14.
171Zadanie 13.4.1.
173Zadanie 13.4.2.
174Zadanie 13.4.3.
174Zadanie 13.4.6.
174Zadanie 13.4.8.
175Zadanie 13.5.5.
179Zadanie 13.5.7.
179Zadanie 13.5.10.
180Zadanie 13.5.15.
181Zadanie 13.6.4.
189Zadanie 13.6.7.
189Zadanie 13.6.11.
190Zadanie 13.6.12.
190Zadanie 13.6.13.
190Zadanie 13.6.14.
191Zadanie 13.6.15.
191Zadanie 13.7.4.
196Zadanie 13.7.7.
197Zadanie 13.8.3.
203Zadanie 13.8.5.
203Zadanie 13.8.7.
204Zadanie 13.8.8.
204Zadanie 13.8.14.
205