Dokonaj obliczeń i uzupełnij zdania.
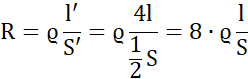
Metalowy przewód elektryczny o przekroju kołowym i długości l został rozciągnięty tak, że jego długość wzrosła czterokrotnie, a jego średnica zmalała dwa razy. Po rozciągnięciu opór tego przewodu wzrósł 8 razy.
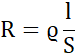
Opór elektryczny na początku:
Długość zwiększyła się 4 razy, a przekrój zmalał 2 razy:
Opór elektryczny po zespoleniu:
Wzór na opór elektryczny:
gdzie R – opór elektryczny [Ω],
l – długość przewodu [m],
S – pole przekroju poprzecznego przewodu [m2],
Zadanie 13.2.1.
163Zadanie 13.2.2.
163Zadanie 13.2.5.
164Zadanie 13.2.6.
164Zadanie 13.3.11.
170Zadanie 13.3.12.
171Zadanie 13.3.13.
171Zadanie 13.3.14.
171Zadanie 13.4.1.
173Zadanie 13.4.2.
174Zadanie 13.4.3.
174Zadanie 13.4.6.
174Zadanie 13.4.8.
175Zadanie 13.5.5.
179Zadanie 13.5.7.
179Zadanie 13.5.10.
180Zadanie 13.5.15.
181Zadanie 13.6.4.
189Zadanie 13.6.7.
189Zadanie 13.6.11.
190Zadanie 13.6.12.
190Zadanie 13.6.13.
190Zadanie 13.6.14.
191Zadanie 13.6.15.
191Zadanie 13.7.4.
196Zadanie 13.7.7.
197Zadanie 13.8.3.
203Zadanie 13.8.5.
203Zadanie 13.8.7.
204Zadanie 13.8.8.
204Zadanie 13.8.14.
205