Policz natężenie prądu, które płynie przez żarówkę na podanym schemacie.
SEM:
Opór wewnętrzny:
Parametry żarówki:
Napięcie:
2 prawo Kirchhoffa dla tego obwodu:
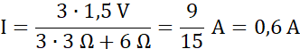
Natężęnie prądu na żarówce:
Przez żarówkę płynie prąd o natężeniu 0,6 A.
II prawo Kirchhoffa pomaga nam rozwiązywać obwody elektryczne.
W każdym oczku suma spadków napięć na odbiornikach jest równa sumie sił elektromotorycznych źródeł.
Ogniwa połączone szeregowo prowadzą do zwiększenia napięcia. Opory wewnętrzne to dodatkowe oporniki połączone równolegle.
Zadanie 13.2.1.
163Zadanie 13.2.2.
163Zadanie 13.2.5.
164Zadanie 13.2.6.
164Zadanie 13.3.11.
170Zadanie 13.3.12.
171Zadanie 13.3.13.
171Zadanie 13.3.14.
171Zadanie 13.4.1.
173Zadanie 13.4.2.
174Zadanie 13.4.3.
174Zadanie 13.4.6.
174Zadanie 13.4.8.
175Zadanie 13.5.5.
179Zadanie 13.5.7.
179Zadanie 13.5.10.
180Zadanie 13.5.15.
181Zadanie 13.6.4.
189Zadanie 13.6.7.
189Zadanie 13.6.11.
190Zadanie 13.6.12.
190Zadanie 13.6.13.
190Zadanie 13.6.14.
191Zadanie 13.6.15.
191Zadanie 13.7.4.
196Zadanie 13.7.7.
197Zadanie 13.8.3.
203Zadanie 13.8.5.
203Zadanie 13.8.7.
204Zadanie 13.8.8.
204Zadanie 13.8.14.
205