Na podstawie schematu oblicz opór elektryczny opornika R2.
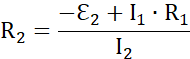
2 prawo Kirchoffa dla prawego oczka (prąd płynie zgodnie z kierunkim I2:
Opór elektryczny:
II prawo Kirchhoffa pomaga nam rozwiązywać obwody elektryczne.
W każdym oczku suma spadków napięć na odbiornikach jest równa sumie sił elektromotorycznych źródeł.
Zakładamy kierunek przepływu prądu w całym oczku. Oporniki mają napięcie ujemne, a źródła dodatnie. Jeżeli prąd płynie przez źródło w odwrotnym kierunku (od minusa do plusa), to wtedy będzie mieć znak ujemny. Jeśli przez opornik płynie prąd w kierunku odwrotnym do zamierzonego, to napięcie będzie mieć znak dodatni.
Zadanie 13.2.1.
163Zadanie 13.2.2.
163Zadanie 13.2.5.
164Zadanie 13.2.6.
164Zadanie 13.3.11.
170Zadanie 13.3.12.
171Zadanie 13.3.13.
171Zadanie 13.3.14.
171Zadanie 13.4.1.
173Zadanie 13.4.2.
174Zadanie 13.4.3.
174Zadanie 13.4.6.
174Zadanie 13.4.8.
175Zadanie 13.5.5.
179Zadanie 13.5.7.
179Zadanie 13.5.10.
180Zadanie 13.5.15.
181Zadanie 13.6.4.
189Zadanie 13.6.7.
189Zadanie 13.6.11.
190Zadanie 13.6.12.
190Zadanie 13.6.13.
190Zadanie 13.6.14.
191Zadanie 13.6.15.
191Zadanie 13.7.4.
196Zadanie 13.7.7.
197Zadanie 13.8.3.
203Zadanie 13.8.5.
203Zadanie 13.8.7.
204Zadanie 13.8.8.
204Zadanie 13.8.14.
205