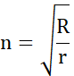
Oblicz, na ile takich samych fragmentów trzeba podzielić przewodnik o oporze R = 144 Ω, by po ich równoległym połączeniu opór zastępczy wynosił r = 4 Ω.
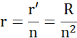
Opór zastępczy n przewodników o nieznanym oporzy r’
Opór zastępczy wszystkich oporników:
Należy przewodnik podzielić na 6 równych kawałków.
Jeśli oporniki są połączone równolegle, to korzystaj ze wzoru:
gdzie Rzast – opór zastępczy,
R1, R2, Rn – wszystkie wartości oporników połączonych równolegle.
Zauważ, że opór przewodnika jest wprost proporcjonalny do jego długości.
Zadanie 13.2.1.
163Zadanie 13.2.2.
163Zadanie 13.2.5.
164Zadanie 13.2.6.
164Zadanie 13.3.11.
170Zadanie 13.3.12.
171Zadanie 13.3.13.
171Zadanie 13.3.14.
171Zadanie 13.4.1.
173Zadanie 13.4.2.
174Zadanie 13.4.3.
174Zadanie 13.4.6.
174Zadanie 13.4.8.
175Zadanie 13.5.5.
179Zadanie 13.5.7.
179Zadanie 13.5.10.
180Zadanie 13.5.15.
181Zadanie 13.6.4.
189Zadanie 13.6.7.
189Zadanie 13.6.11.
190Zadanie 13.6.12.
190Zadanie 13.6.13.
190Zadanie 13.6.14.
191Zadanie 13.6.15.
191Zadanie 13.7.4.
196Zadanie 13.7.7.
197Zadanie 13.8.3.
203Zadanie 13.8.5.
203Zadanie 13.8.7.
204Zadanie 13.8.8.
204Zadanie 13.8.14.
205