Podgrzewacz wody jest połączony równolegle do dwóch spiral o znanych oporach i napięciu. Policz, ile czasu trwa ogrzanie wody o 40 kelwinów, jeśli włączymy tylko spiralę R2.
Opory spiral:
Napięcie:
Energia cieplna:
Praca prądu elektrycznego:
Jest równa ona energii cieplnej (nie zakładaj strat):
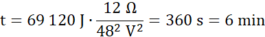
Czas:
Ogrzanie wody trwa 6 minut.
Skorzystaj ze wzoru na moc prądu elektrycznego:
gdzie P – moc [W],
U – napięcie [V],
I – natężenie prądu [A].
Skorzystaj ze wzoru na natężenie prądu:
gdzie R – opór elektryczny [Ω],
U – napięcie [V],
I – natężenie prądu [A].
Zadanie 13.2.1.
163Zadanie 13.2.2.
163Zadanie 13.2.5.
164Zadanie 13.2.6.
164Zadanie 13.3.11.
170Zadanie 13.3.12.
171Zadanie 13.3.13.
171Zadanie 13.3.14.
171Zadanie 13.4.1.
173Zadanie 13.4.2.
174Zadanie 13.4.3.
174Zadanie 13.4.6.
174Zadanie 13.4.8.
175Zadanie 13.5.5.
179Zadanie 13.5.7.
179Zadanie 13.5.10.
180Zadanie 13.5.15.
181Zadanie 13.6.4.
189Zadanie 13.6.7.
189Zadanie 13.6.11.
190Zadanie 13.6.12.
190Zadanie 13.6.13.
190Zadanie 13.6.14.
191Zadanie 13.6.15.
191Zadanie 13.7.4.
196Zadanie 13.7.7.
197Zadanie 13.8.3.
203Zadanie 13.8.5.
203Zadanie 13.8.7.
204Zadanie 13.8.8.
204Zadanie 13.8.14.
205