Policz spadek napięcia na oporniku R2 i jakie jest natężenie prądu, który płynie przez ten rezystor.
Napięcie źródła:
Natężenie prądu wychodzące ze źródła:
Napięcie na R3 i R2 jest takie samo (połączenie równoległe).
Suma napięć na odbiornikach jest równa napięciu na źródle.
Napięcie na R3 i R3:
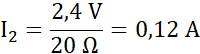
Natężenie prądu:
Spadek napięcia na oporniku 2 wynosi 2,4 V, a natężenie prądu – 0,12 A.
Skorzystaj ze wzoru na natężenie prądu:
gdzie R – opór elektryczny [Ω],
U – napięcie [V],
I – natężenie prądu [A].
I na napięcie:
Dla oporników połączonych równolegle napięcie jest takie samo, lecz natężenie prądu się różni.
Zadanie 13.2.1.
163Zadanie 13.2.2.
163Zadanie 13.2.5.
164Zadanie 13.2.6.
164Zadanie 13.3.11.
170Zadanie 13.3.12.
171Zadanie 13.3.13.
171Zadanie 13.3.14.
171Zadanie 13.4.1.
173Zadanie 13.4.2.
174Zadanie 13.4.3.
174Zadanie 13.4.6.
174Zadanie 13.4.8.
175Zadanie 13.5.5.
179Zadanie 13.5.7.
179Zadanie 13.5.10.
180Zadanie 13.5.15.
181Zadanie 13.6.4.
189Zadanie 13.6.7.
189Zadanie 13.6.11.
190Zadanie 13.6.12.
190Zadanie 13.6.13.
190Zadanie 13.6.14.
191Zadanie 13.6.15.
191Zadanie 13.7.4.
196Zadanie 13.7.7.
197Zadanie 13.8.3.
203Zadanie 13.8.5.
203Zadanie 13.8.7.
204Zadanie 13.8.8.
204Zadanie 13.8.14.
205