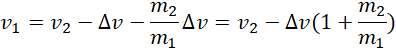
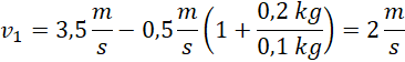
Na podstawie danych podanych w treści zadania oblicz szybkość, z jaką poruszał się wagonik 1 przed zderzeniem z wagonikiem 2.
Pęd w układzie się nie zmienia. W pierwszej sytuacji oba wagoniki poruszają się w tę samą stronę, więc oba składniki są dodatnie. W drugiej sytuacji poruszają się oba wagoniki razem, dlatego dodajemy do siebie ich masę.
Zadanie 10.6.
59Zadanie 10.9.
59Zadanie 10.10.
59Zadanie 10.11.
60Zadanie 10.12.
60Zadanie 10.14.
60Zadanie 10.15.
61Zadanie 10.17.
61Zadanie 10.18.
61Zadanie 10.23.
63Zadanie 10.27.
63Zadanie 11.2.
63Zadanie 11.6.
64Zadanie 12.3.
65Zadanie 12.4.
65Zadanie 12.6.
66Zadanie 12.12.
67Zadanie 12.15.
68Zadanie 12.16.
68Zadanie 13.6.
69Zadanie 13.10.
70Zadanie 13.11.
70Zadanie 13.12.
70Zadanie 13.15.
71Zadanie 13.18.
71Zadanie 13.21.
72Zadanie 13.25.
73Zadanie 14.1.
74Zadanie 14.2.
74Zadanie 14.3.
74Zadanie 14.8.
75Zadanie 14.9.
75Zadanie 14.10.
76Zadanie 15.2.
77Zadanie 15.3.
77Zadanie 15.7.
78Zadanie 15.8.
78Zadanie 15.12.
79Zadanie 15.13.
79Zadanie 15.14.
80