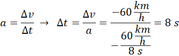
Na podstawie wykresu przedstawionego w podręczniku oblicz czas, jaki zajmie pojazdowi, aby zatrzymać się od prędkości 60 km/h i drogę, jaką wtedy przejedzie, jeśli siła wypadkowa nie uległa zmianie.
Jeśli siła wypadkowa nie ulega zmianie, to przyspieszenie również jest jednakowe. Obliczamy je, a na jego podstawie czas trwania ruchu. Na koniec obliczamy drogę przebytą przez pojazd, korzystając ze wzoru dla ruchu jednostajnie opóźnionego.
Zadanie 10.6.
59Zadanie 10.9.
59Zadanie 10.10.
59Zadanie 10.11.
60Zadanie 10.12.
60Zadanie 10.14.
60Zadanie 10.15.
61Zadanie 10.17.
61Zadanie 10.18.
61Zadanie 10.23.
63Zadanie 10.27.
63Zadanie 11.2.
63Zadanie 11.6.
64Zadanie 12.3.
65Zadanie 12.4.
65Zadanie 12.6.
66Zadanie 12.12.
67Zadanie 12.15.
68Zadanie 12.16.
68Zadanie 13.6.
69Zadanie 13.10.
70Zadanie 13.11.
70Zadanie 13.12.
70Zadanie 13.15.
71Zadanie 13.18.
71Zadanie 13.21.
72Zadanie 13.25.
73Zadanie 14.1.
74Zadanie 14.2.
74Zadanie 14.3.
74Zadanie 14.8.
75Zadanie 14.9.
75Zadanie 14.10.
76Zadanie 15.2.
77Zadanie 15.3.
77Zadanie 15.7.
78Zadanie 15.8.
78Zadanie 15.12.
79Zadanie 15.13.
79Zadanie 15.14.
80