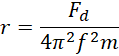
Wiedząc, że na dziecko o masie 35 kg siedzące na krzesełku poruszającej się karuzeli działa siła dośrodkowa o wartości 166 N, a częstotliwość, z jaką obraca się karuzela, wynosi 12 obr/min oblicz w przybliżeniu promień zakreślanego okręgu.
Na początku zamieniamy jednostkę częstotliwości na jednostkę układu SI. Następnie korzystamy ze wzoru na siłę dośrodkową i prędkość kątową. Z otrzymanej zależności wyznaczamy wzór na promień okręgu.
Zadanie 10.6.
59Zadanie 10.9.
59Zadanie 10.10.
59Zadanie 10.11.
60Zadanie 10.12.
60Zadanie 10.14.
60Zadanie 10.15.
61Zadanie 10.17.
61Zadanie 10.18.
61Zadanie 10.23.
63Zadanie 10.27.
63Zadanie 11.2.
63Zadanie 11.6.
64Zadanie 12.3.
65Zadanie 12.4.
65Zadanie 12.6.
66Zadanie 12.12.
67Zadanie 12.15.
68Zadanie 12.16.
68Zadanie 13.6.
69Zadanie 13.10.
70Zadanie 13.11.
70Zadanie 13.12.
70Zadanie 13.15.
71Zadanie 13.18.
71Zadanie 13.21.
72Zadanie 13.25.
73Zadanie 14.1.
74Zadanie 14.2.
74Zadanie 14.3.
74Zadanie 14.8.
75Zadanie 14.9.
75Zadanie 14.10.
76Zadanie 15.2.
77Zadanie 15.3.
77Zadanie 15.7.
78Zadanie 15.8.
78Zadanie 15.12.
79Zadanie 15.13.
79Zadanie 15.14.
80