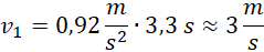
Na podstawie danych przedstawionych w treści zadania oblicz prędkości końcowe turysty zjeżdżają ze zbocza góry w kolejnych butach.
Popchnięta wymagałby zjazd na trzecich butach, ponieważ ich tarcie statyczne jest zbyt duże do przezwyciężenia.
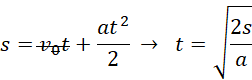
Zapisujemy wzór na siłę wypadkową. Następnie korzystamy z drugiej zasady dynamiki i wzoru na siłę tarcia wyznaczając wartość przyspieszenia ciała. Na podstawie równań ruchu dla ruchu jednostajnie przyspieszonego obliczamy czas i prędkość końcową ciała.
Zadanie 10.6.
59Zadanie 10.9.
59Zadanie 10.10.
59Zadanie 10.11.
60Zadanie 10.12.
60Zadanie 10.14.
60Zadanie 10.15.
61Zadanie 10.17.
61Zadanie 10.18.
61Zadanie 10.23.
63Zadanie 10.27.
63Zadanie 11.2.
63Zadanie 11.6.
64Zadanie 12.3.
65Zadanie 12.4.
65Zadanie 12.6.
66Zadanie 12.12.
67Zadanie 12.15.
68Zadanie 12.16.
68Zadanie 13.6.
69Zadanie 13.10.
70Zadanie 13.11.
70Zadanie 13.12.
70Zadanie 13.15.
71Zadanie 13.18.
71Zadanie 13.21.
72Zadanie 13.25.
73Zadanie 14.1.
74Zadanie 14.2.
74Zadanie 14.3.
74Zadanie 14.8.
75Zadanie 14.9.
75Zadanie 14.10.
76Zadanie 15.2.
77Zadanie 15.3.
77Zadanie 15.7.
78Zadanie 15.8.
78Zadanie 15.12.
79Zadanie 15.13.
79Zadanie 15.14.
80