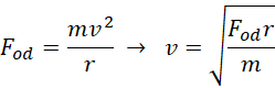
Wiedząc, że kulka o masie 50 g porusza się na sznurku po okręgu o promieniu 60 cm w płaszczyźnie pionowej, a w najwyższym punkcie okręgu sznurek działa na kulkę siłą równą jej ciężarowi oblicz wartość siły dośrodkowej działającej na kulkę oraz jej szybkość w tym punkcie.
Zapisujemy pierwszą zasadę dynamiki w najwyższym punkcie. Korzystamy z założenia podanego w treści zadania. Prędkość liniową obliczamy poprzez skorzystanie z przekształconego wzoru na siłę odśrodkową.
Zadanie 10.6.
59Zadanie 10.9.
59Zadanie 10.10.
59Zadanie 10.11.
60Zadanie 10.12.
60Zadanie 10.14.
60Zadanie 10.15.
61Zadanie 10.17.
61Zadanie 10.18.
61Zadanie 10.23.
63Zadanie 10.27.
63Zadanie 11.2.
63Zadanie 11.6.
64Zadanie 12.3.
65Zadanie 12.4.
65Zadanie 12.6.
66Zadanie 12.12.
67Zadanie 12.15.
68Zadanie 12.16.
68Zadanie 13.6.
69Zadanie 13.10.
70Zadanie 13.11.
70Zadanie 13.12.
70Zadanie 13.15.
71Zadanie 13.18.
71Zadanie 13.21.
72Zadanie 13.25.
73Zadanie 14.1.
74Zadanie 14.2.
74Zadanie 14.3.
74Zadanie 14.8.
75Zadanie 14.9.
75Zadanie 14.10.
76Zadanie 15.2.
77Zadanie 15.3.
77Zadanie 15.7.
78Zadanie 15.8.
78Zadanie 15.12.
79Zadanie 15.13.
79Zadanie 15.14.
80