Oblicz prędkość hamującego samochodu w kolejnych sekundach ruchu.
Rozwiązanie
t, s; v,
0 s;
1 s;
2 s;
3 s;
4 s;
5 s;
6 s;
Samochód zatrzymał się po 6 sekundach.
Wyjaśnienie
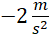
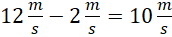
Ponieważ samochód poruszał się z przyspieszeniem , to w każdej kolejnej sekundzie ruchu zwalniał on o , czyli po jednej sekundzie ruchu jego prędkość wyniosła: itd.