Prędkość początkowa:
Czas rozpędzania: 3 s
Prędkość końcowa:
Przyrost prędkości w ciągu 1 s:
Przyrost prędkości:
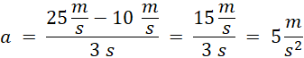
Przyspieszenie:
Ze schematu możesz odczytać, ile czasu trwało przyspieszenie oraz prędkości początkową i końcową. Mając te informacje, możesz obliczyć, z jakim przyspieszeniem poruszało się ciało.
Obliczone przyspieszenie oznacza to, że w każdej kolejnej sekundzie ruchu ciało przyspieszy o