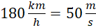
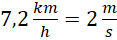
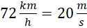
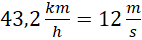
Korzystając z osi z podziałkami, przelicz prędkości.
A. Pływak (sportowiec):
B. Rower:
C. Pędzący słoń:
D. Samochód w mieście:
E. Koń wyścigowy:
F. Strzała z łuku:
Zadanie 1.
Zadanie 2.
Zadanie 3.
Zadanie 4.
Podpunkt a)
Podpunkt b)
Podpunkt c)
Zadanie 5.
Podpunkt d)
Zadanie 1
Zadanie Policzmy razem
Podpunkt e)
Podpunkt f)
Zadanie Przyspieszenie roweru
Zadanie Przyspieszenie samochodu