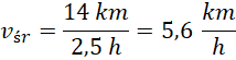
Czas marszu:
Średnia szybkość to z definicji całkowita droga przebyta przez ciało, przez całkowity czas ruchu. W czas ruchu nie są wliczane postoje. Prędkość średnia jest stała przez całość trwania ruchu.