Całkowita pokonana przez uczniów droga:
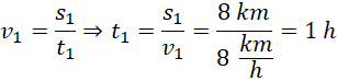
Czas przejazdu na pierwszym etapie:
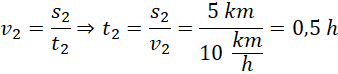
Czas przejazdu na drugim etapie:
Czas całkowity:
Szybkość średnia:
Szybkość średnia uczniów na tej trasie to 8,67
Średnia szybkość to z definicji całkowita droga przebyta przez ciało, przez całkowity czas ruchu.