W tym zadaniu musisz obliczyć wartość przyspieszenia ciała.
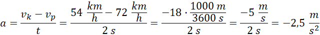
Odpowiedź: przyspieszenie pojazdu wynosi —2,5 .
Wyjaśnienie:
Przyspieszenie to iloraz przyrostu prędkości i czasu ruchu. Ujemne przyspieszenie nazywa się opóźnieniem.
Zadanie 1
Zadanie 2
Zadanie 3
Zadanie 4
Zadanie 5
Zadanie 6
Podpunkt a)
Podpunkt b)
Podpunkt c)
Podpunkt d)
Zadanie 7
Zadanie 8
Zadanie 9
Zadanie 10
Podpunkt e)
Podpunkt f)
Podpunkt g)