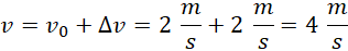
Wzrost szybkości w drugiej sekundzie ruchu: 2
Szybkość ciała po dwóch sekundach ruchu: 4
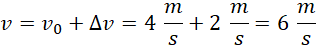
Wzrost szybkości w trzeciej sekundzie ruchu: 2
Szybkość ciała po trzech sekundach ruchu: 6
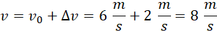
Wzrost szybkości w czwartej sekundzie ruchu: 2
Szybkość ciała po czterech sekundach ruchu: 8
Jednostajne przyspieszenie to wzrost szybkości o tę samą wartość w równych odstępach czasu. Oblicz szybkości po każdej sekundzie poprzez dodanie wartości prędkości, o którą prędkość wzrasta.