Odpowiedź: Opóźnienie pojazdu wynosi: 2
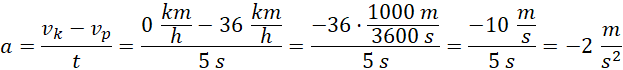
Opóźnienie oblicza się w ten sam sposób co przyspieszenie, lecz wówczas wynik jest ujemny: ujemne przyspieszenie to inaczej opóźnienie. Zatem dla wyniku przyspieszenia a=—2
odpowiedzią o wartość opóźnienia będzie 2