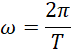
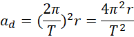
Przyspieszenie dośrodkowe:
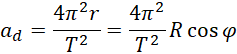
Szerokość geograficzna a promień Ziemi:
Przyspieszenie dośrodkowe zależne od szerokości geograficznej:
Przyspieszenie dośrodkowe w Warszawie
Uwaga! W rozwiązaniu podano wyznaczoną wartość przyspieszenia dośrodkowego w Warszawie, natomiast w treści zadania jest prośba o wyznaczenie tej wartości w miejscu swojego zamieszkania. Jeśli nie mieszkasz w Warszawie, znajdź, na jakiej szerokości geograficznej znajduje się Twoja miejscowość i wyszukaj dla tej wartości cosinus (w tablicach wartości trygonometrycznych). Obliczenia wykonasz analogicznie jak w przykładzie, podstawiając wartość funkcji cosinus do wzoru.