Zadanie

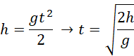
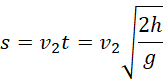
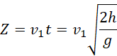
Ze śmigłowca, który leci z prędkością 50 , wypada przedmiot 400 m pionowo nad wodą. Po wodzie pływa motorówka, której prędkość wynosi , a jej kierunek pokrywa się z kierunkiem lotu śmigłowca. Zbliżają się do siebie. W tym zadaniu policz, w jakiej odległości od śmigłowca powinna się znajdować motorówka, aby przedmiot wpadł do motorówki ze śmigłowca.

Rozwiązanie

Wyjaśnienie

Zadania z tego działu
3. Ruch krzywoliniowy
68