Masz narysowany tor żużlowy i podane jego parametry. Wiadomo też, że zakręt można wykonać z prędkością poniżej 57,6 . Oblicz, ile czasu jest potrzebne po starcie, aby zawodnik wszedł w pierwszy zakręt z prędkością ruchem jednostajnie przyspieszonym.
Rozwiązanie
s = 325 m
= 62 m
R = 31 m
d = 1 m
Wyjaśnienie
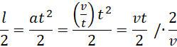
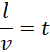
Czas wyznaczasz ze wzoru na drogę w ruchu jednostajnie przyspieszonym. Zwróć uwagę, że droga to połowa prostej l.