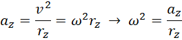
Prędkości kątowe są takie same:
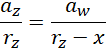
Rozstaw kół w samochodzie to różnica w promieniach koła, jakie samochód będzie pokonywał, poruszając się po rondzie:
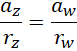
Prędkości kątowe kół jest jednakowe, zatem kwadrat tych prędkości również będzie miał jednakową wartość. Przyrównujesz je do siebie i przekształcasz uzyskane równanie tak, aby wyznaczyć szukany rozstaw.