Zadanie

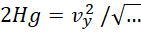
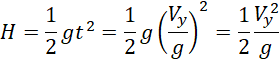
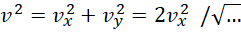
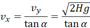
W tym zadaniu oblicz prędkość początkową oraz prędkość w chwili, kiedy uderzy o podłogę po wyrzuceniu jej z wysokości H = 1,25 m w poziomym kierunku, po czym piłka uderzyła o podłogę pod kątem = 45 stopni.

Rozwiązanie

Wyjaśnienie

Zadania z tego działu
3. Ruch krzywoliniowy
68