Zadanie

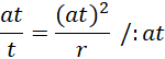
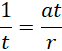
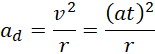
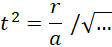
Pewien rowerzysta jechał po torze kołowym, którego promień wynosił 200 m. Poruszał się ruchem jednostajnie przyspieszonym, a jego przyspieszenie wynosiło . Policz, po jakim czasie jego przyspieszenie dośrodkowe oraz przyspieszenie liniowe będzie takie samo, wiedząc, że początkowa jego prędkość wynosiła zero.

Rozwiązanie

Wyjaśnienie

Zadania z tego działu
3. Ruch krzywoliniowy
68