Gracze grają w paintball. Jeden z nich ucieka z prędkością , a drugi goni go z prędkością po linii prostej, czyli biegną jeden za drugim. Kiedy odległość pomiędzy nimi wynosi 20 metrów, drugi gracz strzela do pierwszego. Kulka z farbą wystrzelona zostaje z prędkością względem drugiego gracza. Policz, po jakim czasie kulka postrzeli pierwszego gracza.
Rozwiązanie
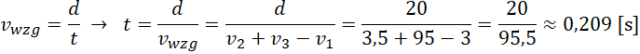
d = 20 m
Odp. Gracz zostanie wyeliminowany z gry po około 0,209 s.