Skul.pl
  • Opracowania zadań z podręczników
  • Świat fizyki. Klasa 7. Zeszyt ćwiczeń - rozwiązania i odpowiedzi
  • Ćwiczenie 2.

Świat fizyki. Klasa 7. Zeszyt ćwiczeń - rozwiązania i odpowiedzi

Zeszyt ćwiczeń, Wydawnictwo: WSiP
Poprzednie

Ćwiczenie 2. - strona 52

Następne

Zadanie

W tym zadaniu musisz obliczyć średnią prędkość dla podanych danych i wyrazić ją w m/s oraz km/h.

Rozwiązanie

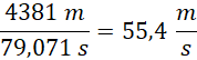
4,381 km = 4381 m

1 min 19,071 s = 79,071 s

Skul

Wyjaśnienie

1 km = 1000 m

1 m = 1/1000 km

1 h = 3600 s

1 s = 1/3600 h

v = s : t

Średnia szybkość to stosunek całkowitej drogi przebytej przez ciało w określonym czasie, do tego czasu.

Poprzednie
Następne

Fizyka - wybrane pytania

Ćwiczenie 9., strona 26, Świat fizyki. Klasa 7. Zeszyt ćwiczeń - rozwiązania i odpowiedzi
Pytanie Podejmij temat 1, strona 33, Fizyka. Klasa 8. Podręcznik - rozwiązania i odpowiedzi
Zadanie 3.5., strona 107, Zrozumieć fizykę. Klasa 1. Zakres rozszerzony. Zbiór zadań - rozwiązania i odpowiedzi
Zadanie 5, strona 114, Spotkania z fizyką. Klasa 7. Zeszyt ćwiczeń - rozwiązania i odpowiedzi
Ćwiczenie 9., strona 62, Fizyka. Świat fizyki. Klasa 8. Zeszyt ćwiczeń - rozwiązania i odpowiedzi
Zadanie 3, strona 49, Fizyka. Klasa 4. Poziom rozszerzony. Podręcznik - rozwiązania i odpowiedzi
Zadanie 12.6.4, strona 131, Zrozumieć fizykę 3. Zakres rozszerzony. Zbiór zadań - rozwiązania i odpowiedz.
Zadanie 1.24, strona 31, Fizyka. Klasa 4. Zakres rozszerzony. Zbiór zadań - rozwiązania i odpowiedzi
Zadanie 16.6.9., strona 61, Zrozumieć fizykę 4. Zakres rozszerzony. Zbiór zadań - rozwiązania i odpowiedzi
Zadanie 14, strona 77, Fizyka. Klasy 1-3. Zakres podstawowy. Zbiór zadań - rozwiązania i odpowiedzi
REKLAMA
Skul
Zadania z tego działu
4. Jak opisujemy ruch?
40
1. Układ odniesienia
40

Ćwiczenie 1.

40

Ćwiczenie 2.

40

Ćwiczenie 3.

40

Ćwiczenie 4.

40

Ćwiczenie 5.

40

Ćwiczenie 6.

41

Ćwiczenie 7.

41
2. Układ odniesienia
42

Ćwiczenie 1.

42

Ćwiczenie 2.

42

Ćwiczenie 3.

42

Ćwiczenie 4.

43

Ćwiczenie 5.

43
3. Ruch prostoliniowy jednostajny
44

Ćwiczenie 1.

44

Ćwiczenie 2.

44

Ćwiczenie 3.

44

Ćwiczenie 4.

45

Ćwiczenie 5.

46
4. Wartość prędkości w ruchu jednostajnym
47

Ćwiczenie 1.

47

Ćwiczenie 2.

47

Ćwiczenie 3.

48

Ćwiczenie 4.

48

Ćwiczenie 5.

48
5. Prędkość w ruchu jednostajnym prostoliniowym
49

Ćwiczenie 1.

49

Ćwiczenie 2.

49

Ćwiczenie 3.

49

Ćwiczenie 4.

50

Ćwiczenie 5.

50

Ćwiczenie 6.

51

Ćwiczenie 7.

51

Ćwiczenie 8.

51
6. Ruch zmienny
52

Ćwiczenie 1.

52

Ćwiczenie 2.

52

Ćwiczenie 3.

52

Ćwiczenie 4.

53

Ćwiczenie 5.

54

Ćwiczenie 6.

54
7. Ruch jednostajnie przyspieszony
55

Ćwiczenie 1.

55

Ćwiczenie 2.

55

Ćwiczenie 3.

56

Ćwiczenie 4.

56
8. Przyspieszenie w ruchu prostoliniowym jednostajnie przyspieszonym
57

Ćwiczenie 1.

57

Ćwiczenie 2.

58

Ćwiczenie 3.

59

Ćwiczenie 4.

59
9. Droga w ruchu prostoliniowym jednostajnie przyspieszonym
60

Ćwiczenie 1.

60

Ćwiczenie 2.

60

Ćwiczenie 3.

60

Ćwiczenie 4.

61
10. Ruch jednostajnie opóźniony
63

Ćwiczenie 1.

63

Ćwiczenie 2.

63

Ćwiczenie 3.

63

Ćwiczenie 4.

64
Pełny spis treści
Skul
Artboard 1
Skul.pl
  • Napisz do nas
  • FAQ
  • Mapa Serwisu
  • Google Play
  • App Store

Korzystanie z portalu oznacza akceptację Regulaminu.
Polityka prywatności. Ustawienia preferencji. Copyright: INTERIA.PL 1999-2023 Wszystkie prawa zastrzeżone.