Skul.pl
  • Opracowania zadań z podręczników
  • Świat fizyki. Klasa 7. Zeszyt ćwiczeń - rozwiązania i odpowiedzi
  • Ćwiczenie 3.

Świat fizyki. Klasa 7. Zeszyt ćwiczeń - rozwiązania i odpowiedzi

Zeszyt ćwiczeń, Wydawnictwo: WSiP
Poprzednie

Ćwiczenie 3. - strona 59

Następne

Zadanie

W tym zadaniu musisz przyjrzeć się dokładnie wykresowi prędkości od czasu. Jakie są przyspieszenia ciał, które jest większe i ile razy. Jakie są ich szybkości chwilowe pod koniec drugiej sekundy.

Rozwiązanie

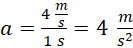
a) ciało A:

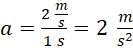
ciało B:

b) Przyspieszenie ciała A ma 2 razy większą wartość.

c) A:

B:

Skul

Wyjaśnienie

Poprzednie
Następne

Fizyka - wybrane pytania

Ćwiczenie 7.41., strona 105, Fizyka. Klasa 1-3. Zakres podstawowy. Zbiór zadań - rozwiązania i odpowiedzi
Zadanie 6.2.10., strona 232, Zrozumieć fizykę. Klasa 1. Zakres rozszerzony. Zbiór zadań - rozwiązania i odpowiedzi
Pytanie 3, strona 110, Zrozumieć fizykę. Klasa 4. Poziom rozszerzony. Podręcznik - rozwiązania i odpowiedzi
Zadanie 30.18., strona 103, Zbiór zadań z fizyki dla szkoły podstawowej. Klasa 7-8 - rozwiązania i odpowiedzi
Zadanie 12.16., strona 157, Fizyka. Klasa 7-8. Zbiór zadań - rozwiązania i odpowiedzi
Zadanie 14.4.4, strona 245, Zrozumieć fizykę 3. Zakres rozszerzony. Zbiór zadań - rozwiązania i odpowiedz.
Zadanie 46.4, strona 151, Fizyka. Klasa 2. Zakres rozszerzony. Zbiór zadań - rozwiązania i odpowiedzi
Zadanie 36.10., strona 130, Zbiór zadań z fizyki dla szkoły podstawowej. Klasa 7-8 - rozwiązania i odpowiedzi
Zadanie 2., strona 15, Świat fizyki. Klasa 7. Podręcznik - rozwiązania i odpowiedzi
Zadanie 13., strona 49, Fizyka. Klasa 7-8. Zbiór zadań - rozwiązania i odpowiedzi
REKLAMA
Skul
Zadania z tego działu
4. Jak opisujemy ruch?
40
1. Układ odniesienia
40

Ćwiczenie 1.

40

Ćwiczenie 2.

40

Ćwiczenie 3.

40

Ćwiczenie 4.

40

Ćwiczenie 5.

40

Ćwiczenie 6.

41

Ćwiczenie 7.

41
2. Układ odniesienia
42

Ćwiczenie 1.

42

Ćwiczenie 2.

42

Ćwiczenie 3.

42

Ćwiczenie 4.

43

Ćwiczenie 5.

43
3. Ruch prostoliniowy jednostajny
44

Ćwiczenie 1.

44

Ćwiczenie 2.

44

Ćwiczenie 3.

44

Ćwiczenie 4.

45

Ćwiczenie 5.

46
4. Wartość prędkości w ruchu jednostajnym
47

Ćwiczenie 1.

47

Ćwiczenie 2.

47

Ćwiczenie 3.

48

Ćwiczenie 4.

48

Ćwiczenie 5.

48
5. Prędkość w ruchu jednostajnym prostoliniowym
49

Ćwiczenie 1.

49

Ćwiczenie 2.

49

Ćwiczenie 3.

49

Ćwiczenie 4.

50

Ćwiczenie 5.

50

Ćwiczenie 6.

51

Ćwiczenie 7.

51

Ćwiczenie 8.

51
6. Ruch zmienny
52

Ćwiczenie 1.

52

Ćwiczenie 2.

52

Ćwiczenie 3.

52

Ćwiczenie 4.

53

Ćwiczenie 5.

54

Ćwiczenie 6.

54
7. Ruch jednostajnie przyspieszony
55

Ćwiczenie 1.

55

Ćwiczenie 2.

55

Ćwiczenie 3.

56

Ćwiczenie 4.

56
8. Przyspieszenie w ruchu prostoliniowym jednostajnie przyspieszonym
57

Ćwiczenie 1.

57

Ćwiczenie 2.

58

Ćwiczenie 3.

59

Ćwiczenie 4.

59
9. Droga w ruchu prostoliniowym jednostajnie przyspieszonym
60

Ćwiczenie 1.

60

Ćwiczenie 2.

60

Ćwiczenie 3.

60

Ćwiczenie 4.

61
10. Ruch jednostajnie opóźniony
63

Ćwiczenie 1.

63

Ćwiczenie 2.

63

Ćwiczenie 3.

63

Ćwiczenie 4.

64
Pełny spis treści
Skul
Artboard 1
Skul.pl
  • Napisz do nas
  • FAQ
  • Mapa Serwisu
  • Google Play
  • App Store

Korzystanie z portalu oznacza akceptację Regulaminu.
Polityka prywatności. Ustawienia preferencji. Copyright: INTERIA.PL 1999-2023 Wszystkie prawa zastrzeżone.