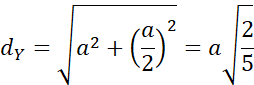
Warto skorzystać z faktu, że praca, jaką należy wykonać, równa jest zmianie energii potencjalnej tego ciała. Z tego powodu warto obliczyć energię potencjalną ładunku q0 w punkcie X i Y. Dla ułatwienia sobie zadania znaleziono odległość pomiędzy punktem Y, a punktem umieszczenia ładunków q2 i q3:
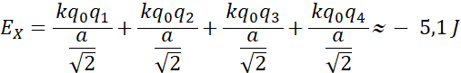
Teraz warto zająć się punktem X:
Natomiast dla punktu Y:
Praca, jaką trzeba wykonać, jest równa, jak wcześniej powiedziano zmianie energii potencjalnej zatem:
W rozwiązaniu skorzystano z faktu, że potencjały pochodzące od wielu ładunków można dodawać w każdym punkcie. Następnie skorzystano z faktu, że praca w polu elektrycznym, nie zależy od wyboru drogi, a jedynie punktów końcowych.