Wiedząc, że elektron porusza się w jednorodnym polu elektrycznym o natężeniu,
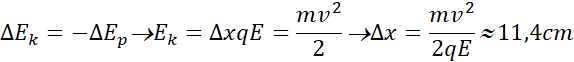
Elektron oddalając się od płyty, będzie wyhamowywać, tracąc w ten sposób swą energię kinetyczną, a zwiększając potencjalną”.
Znając odległość, na jaką oddali się elektron, można teraz korzystając z jednorodności pola znaleźć różnicę potencjałów między płytą, a tym punktem, a następnie dodać ja do początkowego potencjału.
Rozwiązanie korzysta ze zmian energii i faktu, że energia układu jest zachowana.
Zadanie 12.4.1
114Zadanie 12.4.4
115Zadanie 12.1.4
96Zadanie 12.1.5
96Zadanie 12.1.6
97Zadanie 12.1.7
97Zadanie 12.1.8
97Zadanie 12.4.10
116Zadanie 12.1.11
97Zadanie 12.1.14
98Zadanie 12.2.1
103Zadanie 12.2.2
103Zadanie 12.5.1
122Zadanie 12.5.3
123Zadanie 12.5.5
124Zadanie 12.5.7
124Zadanie 12.6.2
131Zadanie 12.6.3
132Zadanie 12.6.6
132Zadanie 12.6.7
133Zadanie 12.6.8
133Zadanie 12.6.9
133Zadanie 12.6.13
134Zadanie 12.1.4
140Zadanie 12.1.8
140Zadanie 12.1.11
141Zadanie 12.1.14
142Zadanie 12.1.15
142Zadanie 1.1
147Zadanie 1.2
148Zadanie 1.3
148