Dwa kondensatory 20 mF i 80 mF połączono jak na rysunku. Najpierw zamknięto klucz K1, a następnie naładowano pierwszy kondensator, po czym otworzono klucz K1, a zamknięto klucz K2. Oblicz napięcie na obu kondensatorach i jaki ładunek oraz energię zgromadził każdy z nich.
Ładunek Qc zgromadzony w całym układzie równy jest ładunkowi zgromadzonemu w kondensatorze 1 przed zamknięciem bramki K2:
Pojemność zastępcza układu kondensatorów po zamknięciu bramki K2 dana jest wzorem:
Zatem po zamknięciu bramki K2, skoro ładunek się nie zmieni to:
Aby z kolei znaleźć napięcia na każdym z kondensatorów, korzysta się ze wzoru :
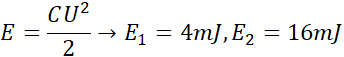
Zaś aby znaleźć energie zgromadzone w kondensatorach, należy korzystać z:
Skorzystano ze wzorów na pojemność i energię kondensatora, a także ze znajomości wzoru na pojemność zastępczą układu kondensatorów.
Zadanie 12.4.1
114Zadanie 12.4.4
115Zadanie 12.1.4
96Zadanie 12.1.5
96Zadanie 12.1.6
97Zadanie 12.1.7
97Zadanie 12.1.8
97Zadanie 12.4.10
116Zadanie 12.1.11
97Zadanie 12.1.14
98Zadanie 12.2.1
103Zadanie 12.2.2
103Zadanie 12.5.1
122Zadanie 12.5.3
123Zadanie 12.5.5
124Zadanie 12.5.7
124Zadanie 12.6.2
131Zadanie 12.6.3
132Zadanie 12.6.6
132Zadanie 12.6.7
133Zadanie 12.6.8
133Zadanie 12.6.9
133Zadanie 12.6.13
134Zadanie 12.1.4
140Zadanie 12.1.8
140Zadanie 12.1.11
141Zadanie 12.1.14
142Zadanie 12.1.15
142Zadanie 1.1
147Zadanie 1.2
148Zadanie 1.3
148